SOLIDWORKS齒輪怎么畫
SOLIDWORKS怎么畫齒輪
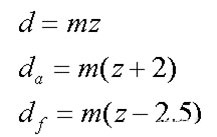
此次的例子為齒輪的繪制過程,繪制齒輪的模數為:m=2mm、齒數為:z=40mm、通過計算公式分別為分度圓直徑、齒頂圓直徑、齒根圓直徑。

通過公式計算可得:d=80mm、da=84mm、df=75mm。
1.選擇前視基準面->繪制齒頂圓的圓形

2.選擇特征->凸臺拉伸->拉伸深度為10mm
3.繪制如圖所示的草圖
(1)繪制角度需要通過360/z/4計算(z為齒輪的齒數)
(2)為與分度圓相切的一條構造線
(3)由于齒輪的壓力角為20°所以需要繪制一條與(2)夾角為20°的直線
此時(3)與齒輪的分度圓有兩個交點,繪制圓心在此直線上的圓,且圓過這兩個交點
利用剪裁功能剪掉多余的部分線條

4.選擇特征->切除拉伸:方式為完全貫穿
5.選擇特征->圓角:設置圓角半徑為0.5mm

6.選擇特征->圓周陣列->設置陣列個數為齒數40個

7.繪制圓形并拉伸切除

8.繪制如圖所示的草圖

9.選擇特征->拉伸切除:完全貫穿

10.對繪制好的圖形利用photoview360渲染

免責聲明:
本文系網絡轉載,版權歸原作者所有。如涉及版權問題,請與微辰三維聯系,我們將及時協商版權問題或刪除內容。部分圖片源于網絡侵刪。
相關資訊
